I will disclose all the truth

В этой теме можно использовать автоматический гарант!

mongol12345

floppy-диск
Забанен
Регистрация
05.01.2022
Сообщения
1
Реакции
1
Пожалуйста, обратите внимание, что пользователь заблокирован
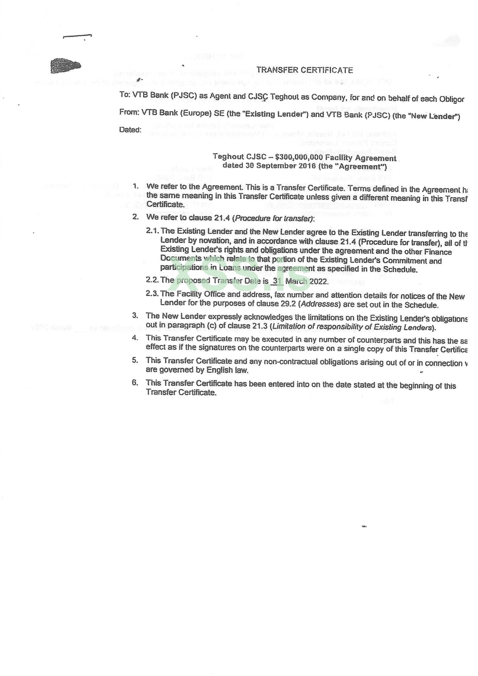
The government of Armenia takes loans from foreign countries on behalf of offshore companies created by them, and then does not pay and remains in debt to these countries. After all, debt is paid for by civilians like us. It is sad that this money does not reach the civilian population or the army. We are the ones who are in debt and starving



Patriotic Hacker of the Great Hayastan
1.jpg
2.jpg
3.jpg
4.jpg
5.jpg
6.jpg
7.jpg
8.jpg
9.jpg
10.jpg
11.jpg
 


Напишите ответ...
Верх