ДЕАНОНИМИЗАЦИЯ БИТКОЙН-ВЫМОГАТЕЛЯ С ИСПОЛЬЗОВАНИЕМ ТЕОРИИ ВЕРОЯТНОСТИ
Доброго времени суток, ув. хакер/кардер/агент секретной службы/ФСБ (нужное подчеркнуть)
Как и большинство читателей, нас всех манит что-то нелегальное. Более 15 лет черно-серые схемы заработка полностью поглотили нас, но после арестов и экстрадиции близких дурзей, пришлось думать о каком-то более легальном направлении.
Данная история случилась в нашем офисе, который представлял из себя что-то средне между FX-TRENDом и трейдинг офисами господина Герчика, разница только в том что рынок крипты использовался для освоения инвесторских денег.
Успешно совмещая "трейдинг офис" с продажей материала в шопах, в один день стали жертвами вымогателя. Забегая на перед, отмечу что креативность этого Илон Маска (вымогателя) застала врасплох. Вначале про*** 5-ти значную сумму с одного из ПМ кошелей, через время получили предложение в жабу доплатить еще большую сумму, во избежание слива всей инфы о нас и наших объемах в контору.
Трезво поразмыслив, что в самом худшем варианте придется заносить еще больше $$ конторским, было принято решение потянуть время и поискать следы троя или утечки самим. Пока партнер с хостером проверяли серваки и логи, я тянул время общаясь с вымогателем.
На протяжении месяца общения в жабе, случайным образом была замечена закономерность: при появлении онлайн вымогателя, через ~10 сек. появлялся клиент нашего офиса, что натолкнуло на мысль что это может быть одно и тоже лицо. Так как личность клиента была известна, было решено нанять исполнителей возврата активов (так как через время удостоверелись на 90% что это наш клиент). Объяснив все подробно нанятым детям гор, они попросили больше доказательств, чем поставили в тупик. Их интеллект ставил под сомнение аргументы:
- разница входа онлайн двух жаб менее чем 10 сек.
- инфа об устройстве (get info в Pidgin'е) в обоих контактах выдавала Android3728...
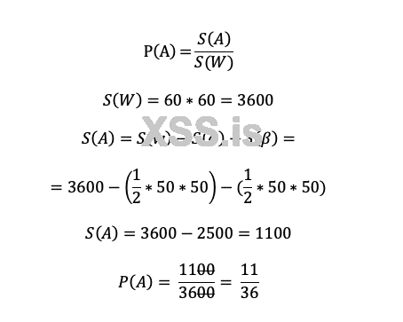
Вспомнив студенческие года, была составлена и решена практическая задача по теории вероятности:
Предположим, что это два разных человека. Вход онлайн менее 10 сек, не более 60 сек. У двух жаб. Какая вероятность, что это два разных человека?
x = вымогатель
y = Олег А.
Событие А = 2 человека
Согласно геом вероятности
Тут мы получили вероятность того, что это 2 чел из 2х чел. Далее на основе примерных демографических данных:
Россия 140кк жителей
Укр 40кк
Белар. 35кк
Далее сделаем предположение, что наш вымогатель и клиент входят в ~10кк русскоговорящего населения пост СНГ.
По классической формуле вероятности
m - число благоприятных исходов
n - число всевозможных исходов
Сочетание n по k элементам
P - вероятность, что это два чел.
А вероятности, что при логине онлайн это два разных человека:
В итоге вероятность что это разные личности составила почти 0.
В конце все сложилось удачно для нас, даже получилось чуток заработать, но это совсем уже другая история.
Если понравилось - пишите коменты.
Всем удачи, и легала
Доброго времени суток, ув. хакер/кардер/агент секретной службы/ФСБ (нужное подчеркнуть)
Как и большинство читателей, нас всех манит что-то нелегальное. Более 15 лет черно-серые схемы заработка полностью поглотили нас, но после арестов и экстрадиции близких дурзей, пришлось думать о каком-то более легальном направлении.
Данная история случилась в нашем офисе, который представлял из себя что-то средне между FX-TRENDом и трейдинг офисами господина Герчика, разница только в том что рынок крипты использовался для освоения инвесторских денег.
Успешно совмещая "трейдинг офис" с продажей материала в шопах, в один день стали жертвами вымогателя. Забегая на перед, отмечу что креативность этого Илон Маска (вымогателя) застала врасплох. Вначале про*** 5-ти значную сумму с одного из ПМ кошелей, через время получили предложение в жабу доплатить еще большую сумму, во избежание слива всей инфы о нас и наших объемах в контору.
Трезво поразмыслив, что в самом худшем варианте придется заносить еще больше $$ конторским, было принято решение потянуть время и поискать следы троя или утечки самим. Пока партнер с хостером проверяли серваки и логи, я тянул время общаясь с вымогателем.
На протяжении месяца общения в жабе, случайным образом была замечена закономерность: при появлении онлайн вымогателя, через ~10 сек. появлялся клиент нашего офиса, что натолкнуло на мысль что это может быть одно и тоже лицо. Так как личность клиента была известна, было решено нанять исполнителей возврата активов (так как через время удостоверелись на 90% что это наш клиент). Объяснив все подробно нанятым детям гор, они попросили больше доказательств, чем поставили в тупик. Их интеллект ставил под сомнение аргументы:
- разница входа онлайн двух жаб менее чем 10 сек.
- инфа об устройстве (get info в Pidgin'е) в обоих контактах выдавала Android3728...
Вспомнив студенческие года, была составлена и решена практическая задача по теории вероятности:
Предположим, что это два разных человека. Вход онлайн менее 10 сек, не более 60 сек. У двух жаб. Какая вероятность, что это два разных человека?
x = вымогатель
y = Олег А.
Событие А = 2 человека
Согласно геом вероятности
Россия 140кк жителей
Укр 40кк
Белар. 35кк
Далее сделаем предположение, что наш вымогатель и клиент входят в ~10кк русскоговорящего населения пост СНГ.
По классической формуле вероятности
n - число всевозможных исходов
Сочетание n по k элементам
А вероятности, что при логине онлайн это два разных человека:
В конце все сложилось удачно для нас, даже получилось чуток заработать, но это совсем уже другая история.
Если понравилось - пишите коменты.
Всем удачи, и легала